上海信然压缩机有限公司
信然无油螺杆真空泵,其主要由螺杆转子、壳体、齿轮、冷却循环和密封件构成。传动轴连接主动转子,通过高精度的同步齿轮带动转子旋向相反旋转,通过气体吸入、压缩、排气三个过程,达到抽气的目的。我公司自行研制、设计、生产的螺杆真空泵其独特的型线设计直接决定泵的极限真空、抽气速率、容积效率、振动和噪声等技术性能指标,正因为如此,其在各种环境工艺中表现出极高的稳定性。

特征特点:
1. 结构简单紧凑:对旋向相反的螺杆、泵体、端盖、密封件等部件组成。
2. 干式运行,无需任何工作介质,因此无油污染,无污水排放,节能减排效果好。
3. 抽气腔原件无摩擦:螺杆和泵体之间均有一定间隙。
4. 真空度高:单台螺杆真空泵可替代三级罗茨泵水环真空机组。
5. 噪音低:一般情况下为80分贝左右。
6. 适宜抽可凝性气体(如水蒸气等)。
7. 从大气抽至极限压力5Pa,只要一台泵就能解决。
8. 干式运行,溶酶回收更容易。
9. 可与罗茨泵组成真空系统,获得更高的极限真空度和增大抽速。
10. 进气口标配单向截止阀,防止气体回流。
11. 出气口标配消音器,无需客户另外购买。
12. 独特的纳米渗透合金技术解决了传统特氟龙涂层容易脱落的情况,提高了泵的耐腐蚀性和运转的晚点性。
13、进气口配有在线吹扫装置(选配),停机时可以对泵腔进行吹扫清洁。
信然无油螺杆真空泵是由一对平行的螺旋状转子与泵体组成的一个工作室,转子与泵体之间没有磨擦且保持一定的间隙,两个转子与泵体之间形成了密封腔,当转子旋转时把密封腔内的气体不断地挤带至排气口排出。因螺杆真空泵无需油润滑或水密封,泵腔内无油,因此螺杆真空泵是无油干式真空泵,在半导体、电子工业中要求无油洁净的场合以及化工制药中对溶剂的回收工艺等具有不可比拟的优越性,可较好地替代旋片式真空泵、滑阀式真空泵使用。
基于对国内外公开文献资料的学习和作者多年研究工作的总结,本文回顾了当前关于无油螺杆真空泵中螺杆转子的设计思路与方法,从转子设计的几何学计算、常用转子型线的构成、等螺距与变螺距的螺旋展开方式、转子动平衡设计方法等几方面,进行了详细的综述;选择介绍在国内有产品销售的六款采用特殊结构螺杆转子的外国螺杆泵产品,对其转子特点进行了分析。针对干式泵在应用领域所面临的新挑战,本文还提出了基于气体热力过程分析的螺杆泵专属设计新理念和采用通用泵体和专属转子的螺杆泵生产新方法,并展望由此可能带来的新变化。
国内真空行业的专家学者很早就已经认识到,无油螺杆真空泵是一种具有广阔应用前景和巨大市场潜力的干式真空泵。因为作为一种直排大气的低真空泵,与旋片泵、滑阀泵等传统油封泵相比,螺杆泵具有无油污染、排除水蒸气和固体粉尘颗粒能力强等特点;与水环泵等液封泵相比,螺杆泵具有真空度高、能耗低、抽除可溶性蒸汽时无废液产生的特点;与爪式泵、多级罗茨泵、涡旋泵等其它干式真空泵相比,螺杆泵具有抽速范围宽、结构简单紧凑、抽气腔元件无摩擦、寿命长等特点。
目前,螺杆泵已被成功地应用于半导体、医药、食品、化工等众多工业领域,所占真空泵市场份额逐年上升。然而,我国目前仅有十余家生产单位能够提供国产螺杆真空泵定型产品,且主要面向低端市场,外国的螺杆泵产品依然占据着国内市场的主导地位。这一格局与其它种类真空泵有很大不同,充分说明我国的螺杆真空泵生产能力和水平远远不能适应我国真空泵应用市场的需求。同时,这一现状也备受国内真空行业的关注,并极大地激发了国内真空泵生产企业的开发热情,目前国内已有一些真空泵生产厂家开始致力于螺杆真空泵的开发研制与生产销售,使螺杆泵的研发工作成为国内真空泵行业的一个热点。
螺杆转子是螺杆真空泵中最关键的抽气部件,直接决定着泵的工作性能和使用寿命,其加工制造成本约占整个螺杆泵总成本近一半。螺杆转子的设计与制造则是整个螺杆泵生产中的关键技术之一,也是国内各企业开发、研制螺杆真空泵过程中所普遍面临的技术难题。由于螺杆真空泵螺杆转子的设计理论尚不够成熟,且有技术保密因素,致使关于螺杆真空泵转子设计的公开资料十分稀少。国内不同单位中从事螺杆真空泵开发研制的研究学者和技术人员,大多是从最基础原理出发,开展研究工作,发现和解决开发工作中所遇到的一个个技术难题,制约了国内螺杆真空泵开发生产的速度与水平的提高。
针对这一问题,本文作者在学习借鉴国内外公开文献资料和总结课题组多年研究成果经验的基础上,尝试回顾总结国内外关于螺杆真空泵螺杆转子的设计理念,介绍最基本的相关概念与设计方法,并对未来螺杆转子的设计方法提出新的设想和展望,以期对国内螺杆真空泵的开发和研究工作有所帮助。
1、转子设计的几何学计算
关于螺杆真空泵转子设计的最基本几何学计算,涉及其几何抽速、吸排气压缩比和动平衡设计。
1.1、抽速计算
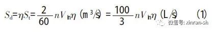
螺杆泵的名义抽速计算公式为
式中:η 为泵的抽气效率,是一个小于1 的系数。由于螺杆泵内部没有液体密封,泵内的级间返流泄漏十分严重,所以与其它传统容积式真空泵相比,其抽气效率要低得多。St 为泵的几何抽速,或称理论抽速,单位取m3/s 或L/s。n 为螺杆的转速,单位取r/min。Vin 为单一螺杆转子的齿间有效吸气容积,单位取为m3,考虑螺杆真空泵大多是采用双螺杆,所以式中乘以系数2。对于端面型线形状尺寸沿轴向保持不变的螺杆转子,Vin 可表示为
其中Ae 为单一螺杆转子的有效抽气面积,单位取为m2;Lin 是对应泵吸气口结束点之后一个螺旋导程的长度,单位取为m。
1.2、压缩比计算
螺杆泵的吸排气压缩比κ 取决于螺杆转子螺旋导程的变化,可表示为
其中Vout 为单一螺杆转子的齿间排气容积,单位取为m3;Lout 是转子排气端面前一个螺旋导程的长度,单位取为m。
1.3、动平衡计算
目前国内生产与应用的无油螺杆真空泵,大多数采用单头螺杆转子。这种转子的共同特征是其端面型线的形心远离其回转轴线,转动时必然会产生质量不平衡。因此,在转子的设计阶段,就必须对转子进行专门的动平衡计算,以消除其不平衡量。刚性转子的动力平衡的条件是要求回转体的整体质心处于回转轴之上,以及要求回转体对垂直于回转轴的二坐标轴的惯性积为零,二者的数学表达形式分别为:
式中,ex 和ey 分别对应为转子在x 轴和y 轴方向的质心坐标;Iyz 和Izx 分别为转子对y-z 轴和z-x 轴的惯性积;坐标系的z 轴沿转子的回转轴线,所有积分都是对转子体的全部质量m 进行。关于实现转子动平衡的方法,后文还有论述。
2、螺杆转子型线
毋庸置疑,螺杆转子的型线设计与加工是无油螺杆真空泵的最关键技术诀窍之一,几乎所有生产厂家都将其作为头等技术机密加以保护或秘不示人,也是所有新开发设计人员所面临的首要设计难题。
螺杆真空泵的工作原理脱胎于在其出现前已经技术成熟的螺杆气体压缩机和螺杆液体输送泵。螺杆真空泵中螺杆转子的工作原理与结构设计理念也是由这两种产品衍化而来。尽管螺杆真空泵输送的介质与螺杆气体压缩机相同,但其转子结构形式却更接近于螺杆液体输送泵中的螺杆转子。至今为止,多数螺杆真空泵的定型产品,其转子均采用单头自啮合型线结构。所谓“自啮合”属性,就是主从螺杆转子采用相同的端面型线,这一点与螺杆气体压缩机有很大不同而与螺杆液体输送泵类似。
2.1、端面型线、轴面型线与法面型线
依据对螺杆转子剖切面方位的不同,螺杆转子型线的常用表述方式也有三种形式,分别为端面型线、轴面型线和法面型线。端面型线对于研究主、从螺杆转子的共轭属性、分析级间泄漏特性、计算泵腔的容积效率等都十分直观方便,因此在型线设计过程中被普遍采用。而轴面型线和法面型线,主要用于表征等螺距螺杆转子的结构,但在等螺距螺杆转子的设计、加工、检验过程中应用更为方便,因此也时有使用。如果希望采用成型刀具直接加工等螺距螺杆转子,则必须依据法面型线来设计成型刀具。螺杆转子端面型线、轴面型线和法面型线的各自表征方程,以及转子齿面的螺旋曲面方程,均可以在转子坐标系中相互转换求得,因此只要确定了其中一种型线表征方式和螺旋展开方式,其余型线表征方式就已经确定。各种型线表征方程的互求转换方法,可以参照螺杆压缩机、螺杆泵或螺旋齿轮的相关理论方法。图1 给出的是同一个等螺距螺杆转子的端面型线、轴面型线和法面型线的剖切方位和对应的三个型线图形。
图1 螺杆转子的端面型线、轴面型线和法面型线示意图
3、结束语
正如本文引言中所述,无油螺杆真空泵的应用市场已经成熟并正在迅速成长,而我国螺杆泵的设计、制造水平尚处于低水平的引进消化探索阶段,还远远不能适应我国当前市场的实际需求。其中螺杆转子的设计理论和制造技术的落后,正是制约螺杆泵技术与产品进步的关键因素之一。例如,在北京2015年第十三届国际真空展览会上,所展出的国产螺杆泵大多数还是采用的等螺距螺杆转子,因此排气功耗大,转子的工作转速也多是直连电机的同步转速。对照近几年外国公司的产品,大量出现排气功耗小的变螺距转子,且多采用增速机构以提高转子的工作转速。
本文尝试从几何结构计算、型线构成、转子动平衡方法、螺旋展开方式等几方面,对现有的设计思想和国外产品进行粗浅的分析,总结并提出一些不成熟的设想,挂一漏万,属一孔之见。本文作者之所以敢于大胆、冒昧地提出自己的观点看法,其本意在于抛砖引玉,激发国内相关同行学者和工程技术人员的热情,共同探讨相关技术的突破点,从而尽快提升我国无油螺杆真空泵的设计、制造和应用水平,为国家的整体技术水平的提升做出自己应尽的义务,为国家的经济建设做出更大的贡献。